12.4 Задача о Ханойской башне¶
В задачах сортировки слиянием и построения двоичного дерева мы делили исходную задачу на две подзадачи, каждая из которых имела размер, равный примерно половине исходной задачи. Однако для задачи о Ханойской башне используется другая стратегия разбиения.
Question
Даны три стержня, обозначенные как A , B и C . В начальном состоянии на стержне A находятся \(n\) дисков, расположенных сверху вниз в порядке от меньшего к большему. Нужно переместить эти \(n\) дисков на стержень C , сохранив их исходный порядок (как показано на рисунке 12-10). Во время перемещения дисков необходимо соблюдать следующие правила.
- Диск можно снять только с вершины одного стержня и положить только на вершину другого стержня.
- За один раз можно перемещать только один диск.
- Меньший диск всегда должен лежать на большем.

Рисунок 12-10 Пример задачи о Ханойской башне
Обозначим задачу о Ханойской башне размера \(i\) как \(f(i)\) . Например, \(f(3)\) означает задачу перемещения 3 дисков со стержня A на стержень C .
1. Рассмотрим базовые случаи¶
Как показано на рисунке 12-11, для задачи \(f(1)\) , то есть когда имеется только один диск, достаточно просто переместить его напрямую со стержня A на стержень C .


Рисунок 12-11 Решение задачи размера 1
Как показано на рисунке 12-12, для задачи \(f(2)\) , то есть когда есть два диска, поскольку меньший диск все время должен лежать на большем, приходится использовать B как вспомогательный стержень.
- Сначала переместить верхний маленький диск с
AнаB. - Затем переместить большой диск с
AнаC. - Наконец, переместить маленький диск с
BнаC.




Рисунок 12-12 Решение задачи размера 2
Процесс решения задачи \(f(2)\) можно кратко описать так: переместить два диска с A на C с помощью B . Здесь C называется целевым стержнем, а B - буферным стержнем.
2. Разбиение на подзадачи¶
Для задачи \(f(3)\) , то есть когда имеется три диска, ситуация становится сложнее.
Поскольку решения \(f(1)\) и \(f(2)\) уже известны, можно подойти к задаче с точки зрения стратегии «разделяй и властвуй» и рассматривать два верхних диска на A как единое целое, выполняя шаги, показанные на рисунке 12-13. Так три диска успешно перемещаются с A на C .
- Сделать
Bцелевым стержнем, аCбуферным, и переместить два диска сAнаB. - Переместить оставшийся один диск с
Aнапрямую наC. - Сделать
Cцелевым стержнем, аAбуферным, и переместить два диска сBнаC.




Рисунок 12-13 Решение задачи размера 3
Иначе говоря, мы разбиваем задачу \(f(3)\) на две подзадачи \(f(2)\) и одну подзадачу \(f(1)\) . Если последовательно решить эти три подзадачи, исходная задача тоже будет решена. Это показывает, что подзадачи независимы и что их решения можно объединить.
Таким образом, можно сформулировать показанную на рисунке 12-14 стратегию «разделяй и властвуй» для задачи о Ханойской башне: исходная задача \(f(n)\) разбивается на две подзадачи \(f(n-1)\) и одну подзадачу \(f(1)\) , которые затем решаются в следующем порядке.
- Переместить \(n-1\) дисков с
AнаBс помощьюC. - Переместить оставшийся \(1\) диск напрямую с
AнаC. - Переместить \(n-1\) дисков с
BнаCс помощьюA.
Для двух подзадач \(f(n-1)\) можно применять тот же способ рекурсивного разбиения, пока не будет достигнута наименьшая подзадача \(f(1)\) . А решение для \(f(1)\) уже известно и требует всего одного перемещения.

Рисунок 12-14 Стратегия разделяй и властвуй для решения задачи о Ханойской башне
3. Реализация кода¶
В коде мы объявляем рекурсивную функцию dfs(i, src, buf, tar) , которая перемещает \(i\) верхних дисков со стержня src на целевой стержень tar с помощью буферного стержня buf :
def move(src: list[int], tar: list[int]):
"""Переместить один диск"""
# Снять диск с вершины src
pan = src.pop()
# Положить диск на вершину tar
tar.append(pan)
def dfs(i: int, src: list[int], buf: list[int], tar: list[int]):
"""Решить задачу Ханойской башни f(i)"""
# Если в src остался только один диск, сразу переместить его в tar
if i == 1:
move(src, tar)
return
# Подзадача f(i-1): переместить верхние i-1 дисков из src в buf с помощью tar
dfs(i - 1, src, tar, buf)
# Подзадача f(1): переместить оставшийся один диск из src в tar
move(src, tar)
# Подзадача f(i-1): переместить верхние i-1 дисков из buf в tar с помощью src
dfs(i - 1, buf, src, tar)
def solve_hanota(A: list[int], B: list[int], C: list[int]):
"""Решить задачу Ханойской башни"""
n = len(A)
# Переместить верхние n дисков из A в C с помощью B
dfs(n, A, B, C)
/* Переместить один диск */
void move(vector<int> &src, vector<int> &tar) {
// Снять диск с вершины src
int pan = src.back();
src.pop_back();
// Положить диск на вершину tar
tar.push_back(pan);
}
/* Решить задачу Ханойской башни f(i) */
void dfs(int i, vector<int> &src, vector<int> &buf, vector<int> &tar) {
// Если в src остался только один диск, сразу переместить его в tar
if (i == 1) {
move(src, tar);
return;
}
// Подзадача f(i-1): переместить верхние i-1 дисков из src в buf с помощью tar
dfs(i - 1, src, tar, buf);
// Подзадача f(1): переместить оставшийся один диск из src в tar
move(src, tar);
// Подзадача f(i-1): переместить верхние i-1 дисков из buf в tar с помощью src
dfs(i - 1, buf, src, tar);
}
/* Решить задачу Ханойской башни */
void solveHanota(vector<int> &A, vector<int> &B, vector<int> &C) {
int n = A.size();
// Переместить верхние n дисков из A в C с помощью B
dfs(n, A, B, C);
}
/* Переместить один диск */
void move(List<Integer> src, List<Integer> tar) {
// Снять диск с вершины src
Integer pan = src.remove(src.size() - 1);
// Положить диск на вершину tar
tar.add(pan);
}
/* Решить задачу Ханойской башни f(i) */
void dfs(int i, List<Integer> src, List<Integer> buf, List<Integer> tar) {
// Если в src остался только один диск, сразу переместить его в tar
if (i == 1) {
move(src, tar);
return;
}
// Подзадача f(i-1): переместить верхние i-1 дисков из src в buf с помощью tar
dfs(i - 1, src, tar, buf);
// Подзадача f(1): переместить оставшийся один диск из src в tar
move(src, tar);
// Подзадача f(i-1): переместить верхние i-1 дисков из buf в tar с помощью src
dfs(i - 1, buf, src, tar);
}
/* Решить задачу Ханойской башни */
void solveHanota(List<Integer> A, List<Integer> B, List<Integer> C) {
int n = A.size();
// Переместить верхние n дисков из A в C с помощью B
dfs(n, A, B, C);
}
/* Переместить один диск */
void Move(List<int> src, List<int> tar) {
// Снять диск с вершины src
int pan = src[^1];
src.RemoveAt(src.Count - 1);
// Положить диск на вершину tar
tar.Add(pan);
}
/* Решить задачу Ханойской башни f(i) */
void DFS(int i, List<int> src, List<int> buf, List<int> tar) {
// Если в src остался только один диск, сразу переместить его в tar
if (i == 1) {
Move(src, tar);
return;
}
// Подзадача f(i-1): переместить верхние i-1 дисков из src в buf с помощью tar
DFS(i - 1, src, tar, buf);
// Подзадача f(1): переместить оставшийся один диск из src в tar
Move(src, tar);
// Подзадача f(i-1): переместить верхние i-1 дисков из buf в tar с помощью src
DFS(i - 1, buf, src, tar);
}
/* Решить задачу Ханойской башни */
void SolveHanota(List<int> A, List<int> B, List<int> C) {
int n = A.Count;
// Переместить верхние n дисков из A в C с помощью B
DFS(n, A, B, C);
}
/* Переместить один диск */
func move(src, tar *list.List) {
// Снять диск с вершины src
pan := src.Back()
// Положить диск на вершину tar
tar.PushBack(pan.Value)
// Убрать верхний диск из src
src.Remove(pan)
}
/* Решить задачу Ханойской башни f(i) */
func dfsHanota(i int, src, buf, tar *list.List) {
// Если в src остался только один диск, сразу переместить его в tar
if i == 1 {
move(src, tar)
return
}
// Подзадача f(i-1): переместить верхние i-1 дисков из src в buf с помощью tar
dfsHanota(i-1, src, tar, buf)
// Подзадача f(1): переместить оставшийся один диск из src в tar
move(src, tar)
// Подзадача f(i-1): переместить верхние i-1 дисков из buf в tar с помощью src
dfsHanota(i-1, buf, src, tar)
}
/* Решить задачу Ханойской башни */
func solveHanota(A, B, C *list.List) {
n := A.Len()
// Переместить верхние n дисков из A в C с помощью B
dfsHanota(n, A, B, C)
}
/* Переместить один диск */
func move(src: inout [Int], tar: inout [Int]) {
// Снять диск с вершины src
let pan = src.popLast()!
// Положить диск на вершину tar
tar.append(pan)
}
/* Решить задачу Ханойской башни f(i) */
func dfs(i: Int, src: inout [Int], buf: inout [Int], tar: inout [Int]) {
// Если в src остался только один диск, сразу переместить его в tar
if i == 1 {
move(src: &src, tar: &tar)
return
}
// Подзадача f(i-1): переместить верхние i-1 дисков из src в buf с помощью tar
dfs(i: i - 1, src: &src, buf: &tar, tar: &buf)
// Подзадача f(1): переместить оставшийся один диск из src в tar
move(src: &src, tar: &tar)
// Подзадача f(i-1): переместить верхние i-1 дисков из buf в tar с помощью src
dfs(i: i - 1, src: &buf, buf: &src, tar: &tar)
}
/* Решить задачу Ханойской башни */
func solveHanota(A: inout [Int], B: inout [Int], C: inout [Int]) {
let n = A.count
// Хвост списка соответствует вершине столбца
// Переместить верхние n дисков из src в C с помощью B
dfs(i: n, src: &A, buf: &B, tar: &C)
}
/* Переместить один диск */
function move(src, tar) {
// Снять диск с вершины src
const pan = src.pop();
// Положить диск на вершину tar
tar.push(pan);
}
/* Решить задачу Ханойской башни f(i) */
function dfs(i, src, buf, tar) {
// Если в src остался только один диск, сразу переместить его в tar
if (i === 1) {
move(src, tar);
return;
}
// Подзадача f(i-1): переместить верхние i-1 дисков из src в buf с помощью tar
dfs(i - 1, src, tar, buf);
// Подзадача f(1): переместить оставшийся один диск из src в tar
move(src, tar);
// Подзадача f(i-1): переместить верхние i-1 дисков из buf в tar с помощью src
dfs(i - 1, buf, src, tar);
}
/* Решить задачу Ханойской башни */
function solveHanota(A, B, C) {
const n = A.length;
// Переместить верхние n дисков из A в C с помощью B
dfs(n, A, B, C);
}
/* Переместить один диск */
function move(src: number[], tar: number[]): void {
// Снять диск с вершины src
const pan = src.pop();
// Положить диск на вершину tar
tar.push(pan);
}
/* Решить задачу Ханойской башни f(i) */
function dfs(i: number, src: number[], buf: number[], tar: number[]): void {
// Если в src остался только один диск, сразу переместить его в tar
if (i === 1) {
move(src, tar);
return;
}
// Подзадача f(i-1): переместить верхние i-1 дисков из src в buf с помощью tar
dfs(i - 1, src, tar, buf);
// Подзадача f(1): переместить оставшийся один диск из src в tar
move(src, tar);
// Подзадача f(i-1): переместить верхние i-1 дисков из buf в tar с помощью src
dfs(i - 1, buf, src, tar);
}
/* Решить задачу Ханойской башни */
function solveHanota(A: number[], B: number[], C: number[]): void {
const n = A.length;
// Переместить верхние n дисков из A в C с помощью B
dfs(n, A, B, C);
}
/* Переместить один диск */
void move(List<int> src, List<int> tar) {
// Снять диск с вершины src
int pan = src.removeLast();
// Положить диск на вершину tar
tar.add(pan);
}
/* Решить задачу Ханойской башни f(i) */
void dfs(int i, List<int> src, List<int> buf, List<int> tar) {
// Если в src остался только один диск, сразу переместить его в tar
if (i == 1) {
move(src, tar);
return;
}
// Подзадача f(i-1): переместить верхние i-1 дисков из src в buf с помощью tar
dfs(i - 1, src, tar, buf);
// Подзадача f(1): переместить оставшийся один диск из src в tar
move(src, tar);
// Подзадача f(i-1): переместить верхние i-1 дисков из buf в tar с помощью src
dfs(i - 1, buf, src, tar);
}
/* Решить задачу Ханойской башни */
void solveHanota(List<int> A, List<int> B, List<int> C) {
int n = A.length;
// Переместить верхние n дисков из A в C с помощью B
dfs(n, A, B, C);
}
/* Переместить один диск */
fn move_pan(src: &mut Vec<i32>, tar: &mut Vec<i32>) {
// Снять диск с вершины src
let pan = src.pop().unwrap();
// Положить диск на вершину tar
tar.push(pan);
}
/* Решить задачу Ханойской башни f(i) */
fn dfs(i: i32, src: &mut Vec<i32>, buf: &mut Vec<i32>, tar: &mut Vec<i32>) {
// Если в src остался только один диск, сразу переместить его в tar
if i == 1 {
move_pan(src, tar);
return;
}
// Подзадача f(i-1): переместить верхние i-1 дисков из src в buf с помощью tar
dfs(i - 1, src, tar, buf);
// Подзадача f(1): переместить оставшийся один диск из src в tar
move_pan(src, tar);
// Подзадача f(i-1): переместить верхние i-1 дисков из buf в tar с помощью src
dfs(i - 1, buf, src, tar);
}
/* Решить задачу Ханойской башни */
fn solve_hanota(A: &mut Vec<i32>, B: &mut Vec<i32>, C: &mut Vec<i32>) {
let n = A.len() as i32;
// Переместить верхние n дисков из A в C с помощью B
dfs(n, A, B, C);
}
/* Переместить один диск */
void move(int *src, int *srcSize, int *tar, int *tarSize) {
// Снять диск с вершины src
int pan = src[*srcSize - 1];
src[*srcSize - 1] = 0;
(*srcSize)--;
// Положить диск на вершину tar
tar[*tarSize] = pan;
(*tarSize)++;
}
/* Решить задачу Ханойской башни f(i) */
void dfs(int i, int *src, int *srcSize, int *buf, int *bufSize, int *tar, int *tarSize) {
// Если в src остался только один диск, сразу переместить его в tar
if (i == 1) {
move(src, srcSize, tar, tarSize);
return;
}
// Подзадача f(i-1): переместить верхние i-1 дисков из src в buf с помощью tar
dfs(i - 1, src, srcSize, tar, tarSize, buf, bufSize);
// Подзадача f(1): переместить оставшийся один диск из src в tar
move(src, srcSize, tar, tarSize);
// Подзадача f(i-1): переместить верхние i-1 дисков из buf в tar с помощью src
dfs(i - 1, buf, bufSize, src, srcSize, tar, tarSize);
}
/* Решить задачу Ханойской башни */
void solveHanota(int *A, int *ASize, int *B, int *BSize, int *C, int *CSize) {
// Переместить верхние n дисков из A в C с помощью B
dfs(*ASize, A, ASize, B, BSize, C, CSize);
}
/* Переместить один диск */
fun move(src: MutableList<Int>, tar: MutableList<Int>) {
// Снять диск с вершины src
val pan = src.removeAt(src.size - 1)
// Положить диск на вершину tar
tar.add(pan)
}
/* Решить задачу Ханойской башни f(i) */
fun dfs(i: Int, src: MutableList<Int>, buf: MutableList<Int>, tar: MutableList<Int>) {
// Если в src остался только один диск, сразу переместить его в tar
if (i == 1) {
move(src, tar)
return
}
// Подзадача f(i-1): переместить верхние i-1 дисков из src в buf с помощью tar
dfs(i - 1, src, tar, buf)
// Подзадача f(1): переместить оставшийся один диск из src в tar
move(src, tar)
// Подзадача f(i-1): переместить верхние i-1 дисков из buf в tar с помощью src
dfs(i - 1, buf, src, tar)
}
/* Решить задачу Ханойской башни */
fun solveHanota(A: MutableList<Int>, B: MutableList<Int>, C: MutableList<Int>) {
val n = A.size
// Переместить верхние n дисков из A в C с помощью B
dfs(n, A, B, C)
}
### Переместить один диск ###
def move(src, tar)
# Снять диск с вершины src
pan = src.pop
# Положить диск на вершину tar
tar << pan
end
### Решить задачу Ханойской башни f(i) ###
def dfs(i, src, buf, tar)
# Если в src остался только один диск, сразу переместить его в tar
if i == 1
move(src, tar)
return
end
# Подзадача f(i-1): переместить верхние i-1 дисков из src в buf с помощью tar
dfs(i - 1, src, tar, buf)
# Подзадача f(1): переместить оставшийся один диск из src в tar
move(src, tar)
# Подзадача f(i-1): переместить верхние i-1 дисков из buf в tar с помощью src
dfs(i - 1, buf, src, tar)
end
### Решить задачу Ханойской башни ###
def solve_hanota(_A, _B, _C)
n = _A.length
# Переместить верхние n дисков из A в C с помощью B
dfs(n, _A, _B, _C)
end
Визуализация кода
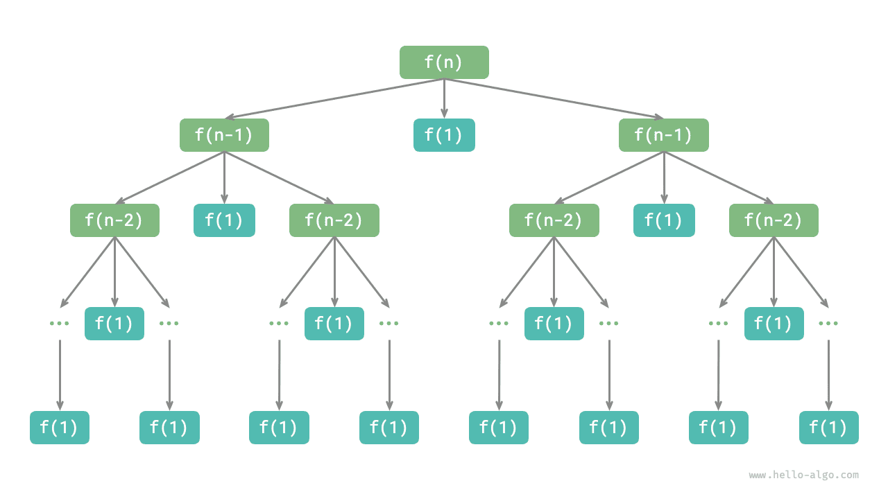
Как показано на рисунке 12-15, задача о Ханойской башне формирует дерево рекурсии высоты \(n\) , в котором каждый узел представляет подзадачу и соответствует одному открытому вызову dfs(). Поэтому временная сложность равна \(O(2^n)\) , а пространственная сложность равна \(O(n)\) .

Рисунок 12-15 Дерево рекурсии задачи о Ханойской башне
Quote
Задача о Ханойской башне происходит из древней легенды. В одном из храмов древней Индии монахи имели три высоких алмазных стержня и \(64\) золотых диска разного размера. Монахи непрерывно перекладывали диски и верили, что в тот момент, когда последний диск будет правильно перенесен, мир подойдет к концу.
Однако даже если бы монахи перемещали по одному диску в секунду, им понадобилось бы примерно \(2^{64} \approx 1.84×10^{19}\) секунд, то есть около \(585\) миллиардов лет, что намного превышает текущую оценку возраста Вселенной. Поэтому, если легенда и верна, нам, вероятно, пока не о чем беспокоиться.